20. Санитарно – гигиенические нормативы качества окружающей среды. Эффект суммации.
Санитарно-гигиеническое нормирование охватывает все среды, с которыми встречается человек: атмосфера, гидросфера, почва, продукты питания, изучает пути поступления загрязняющих веществ в организм человека, а также их воздействие на организм человека. Т.е. санитарно-гигиеническое нормирование определяет качество среды по отношению к человеку. Это наиболее разработанная группа нормативов:
ПДК – предельная концентрация вредных веществ в различных средах.
ДОК – допустимые остаточные количества вредных веществ в продуктах питания. (самостоятельно)
ПДУ – предельно допустимые уровни физического воздействия. (самостоятельно)
Гигиенические нормативы устанавливают параметры (физические, химические, биологические), обеспечивающие сохранение здоровья человека. Эти параметры установлены законодательно и поэтому они обязательны для исполнения. Параметры могут пересматриваться т.к. появляются новые научные достижения, которые учитывают воздействие этих загрязняющих веществ на организм человека, при этом исходят из того, что появляются новые виды воздействия на человека.
ПДК – это количество загрязняющего вещества в воздухе, воде, почве, которая при постоянном или временном воздействии не влияет на его здоровье и не вызывает неблагоприятных последствий у его потомства. В последнее время учитывается воздействие этих загрязнителей не только на человека, также на диких животных, растения, грибы, микроорганизмы и природные экосистемы в целом.
ПДКВ. (для воды) установили примерно для 2 тысяч природных веществ, измеряется в [мг/м3].
ПДКА.В. (для атмосферного воздуха) установлена для 500 природных веществ, измеряется в [мг/л].
ПДКП. (для почвы) установлена для 130 природных веществ, измеряется в [мг/кг].
ПДКА.В.существует раздельное нормирование, поэтому выделяют разные виды ПДКА.В.:
ПДКм.р. (максимальное разовое)
ПДКс.с. (среднесуточное)
ПДКр.з. (рабочей зоны)
ПДКн.п. (населенных пунктов)
ПДКк.з. (курортной зоны)
Многие загрязняющие вещества обладают сходным токсикологическим действием на живые организмы. Кроме того, ряд веществ может усиливать свою токсичность в присутствии других. Это явление называется эффект суммации. Для веществ однонаправленного действия можно записать:
,
где Ki – коэффициент, который учитывает класс
опасности вещества, он меняется от 1,5
до 0,85.
ИЗА рассчитывают обычно по пяти наиболее опасным загрязнителям, в их число входят: бензопирен, формальдегид, фенол, аммиак, диоксид азота, диоксид серы, сероуглерод.
ИЗА < 2,5 – среда считается чистой.
7,5 <ИЗА<12,5 – загрязненная атмосфера.
ИЗА > 52,5 – экстремально загрязненная.
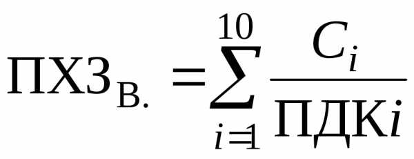
Суммарный показатель загрязненности – показатель химического загрязнения воды. Этот показатель определяется по 10 конкретным веществам, причем концентрация этих веществ максимально превышает их ПДК.

С – концентрация конкретных веществ.
ПХЗВ может иметь разные значения.
Если ПХЗВ = 1, фоновое состояние.
Если 1 < ПХЗВ < 10, вода загрязненная.
Если ПХЗВ > 10, вода очень грязная.
Гигиеническое нормирование вредных веществ в почве.
ПДКП. – это пороговая концентрация загрязняющего вещества в почве, которая не оказывает отрицательного воздействия на здоровье человека, которая не нарушает самоочищающую способность почвы, которая не вызывает отрицательного прямого или косвенного влияния на природную среду. ПДК загрязняющего вещества в почве должна быть такой, чтобы его концентрация в воздухе (если оно летуче), воде (если оно растворимо) не превышало ПДК атмосферного воздуха, воды.
Упрощенно степень
загрязнения почвы можно рассчитать по
формуле
.
Если ПХЗП. < 16 – допустимое загрязнение, низкий уровень детской заболеваемости.
32 < ПХЗП. < 128 – сильное загрязнение почв.
ПХЗП. > чрезвычайно опасное загрязнение, при этом у детей очень сильно увеличена заболеваемость, возможно нарушение репродуктивных функций женщин.
В результате загрязнения и некоторых других процессов (вторичное засорение, эрозии и т.д.) почвы могут деградировать, при этом наблюдается как физическая, так и биологическая деградация.
Физическая деградация почвы выражается в том, что увеличивается плотность почв, происходит потеря гумуса в пахотном слое, сокращается площадь пахотных земель.
studfiles.net
Система экологических нормативов. Санитарно-гигиенические нормативы
Все нормативы качества окружающей природной среды подразделяются на три основные группы:
1. Санитарно-гигиенические – ПДК (предельно допустимая концентрация). ПДК представляет собой максимальную концентрацию определенного агрессивного вещества в атмосферном воздухе, которая не вызывает заметных нарушений здоровья человека и неблагоприятных отдаленных последствий для его организма. Это говорит о том, что экологические нормативы должны выражать границы взаимодействия общества и природы, при которых максимально возможный рост темпов экономического развития должен быть согласован с заданным качеством окружающей среды.
Следует заметить, что любое ужесточение норм, которое желательно с точки зрения экологии, одновременно на некотором отрезке времени снижает возможность экономического роста. В то же время любое послабление снижает качество ОС, хотя при этом временно улучшаются показатели хозяйственной деятельности. Поэтому необходима научно обоснованная система эколого-экономических нормативов. Эти нормативы устанавливаются с учетом экологической необходимости и экономических возможностей, не утрачивая при этом свою регламентирующую роль. Значит, величина ПДК должна быть такой, чтобы оптимально сочетались интересы дальнейшего развития народного хозяйства и сохранения окружающей среды, расширения естественной базы жизнедеятельности общества.
Предельно допустимая концентрация загрязняющих веществ (ПДК) – максимально допустимая масса вредного вещества в единице объема воздуха (в миллиграммах на метр кубический), воды (на 1 л) или почвы, грунтов, других пород (на 1 кг вещества). ПДК устанавливается на таком уровне, при котором вредные вещества даже при ежедневном воздействии в течение продолжительного времени не вызывают патологических изменений в организме или заболевания человека, животных и растений.
Чтобы установить ПДК атмосферных загрязнений, проводят токсикологический эксперимент на животных (белых крысах, морских свинках и др.) в лабораторных условиях. В специальных камерах животные подвергаются круглосуточному ингаляционному воздействию химического вещества в течение 3 – 4 месяцев. Затем анализируются изменения в их организме. Аналогично определяются нормативы вредных веществ для воды.
Если то или иное вредное вещество Ci на данной территории представлено в единственном виде и не превышает значения ПДК, это свидетельствует о чистоте природной среды:
(7.1)
Однако в воздушном бассейне или в водной среде находится не одно, а несколько вредных веществ, причем многие из них способны образовывать новые соединения. Сумма концентрации веществ в таком случае не должна превышать единицу (
, (7.2)
где С1, С2,…, Сn – фактические концентрации загрязняющих веществ в атмосферном воздухе или воде;
ПДК1, ПДК2, …, ПДКn – соответствующие величины ПДК этих веществ.
Для каждого загрязняющего вещества установлены класс опасности, максимальная разовая и среднесуточная ПДК. Максимальная разовая ПДК устанавливается для предупреждения рефлекторных реакций у человека (ощущения запаха, изменения активности головного мозга, световой чувствительности глаз и др.) при кратковременном воздействии атмосферных загрязнений (до 20 мин), а среднесуточная ПДК – с целью предупреждения их общетоксического, канцерогенного, мутагенного и иного действия. Данные по некоторым наиболее распространенным загрязнителям представлены в табл. 7.2.
Разработаны и внедрены значения ПДК вредных веществ в воздухе жилой и рабочей зон. Рабочей зоной считается пространство высотой до двух метров, где находится место постоянного пребывания работающих. Критерии установления ПДК в воздухе рабочей зоны отличаются от критериев обоснования нормативов загрязнителей жилой зоны. В жилой зоне атмосферные загрязнители действуют круглосуточно на все группы населения, включая детей и пенсионеров, и поэтому они более жесткие. В рабочей зоне вредные химические вещества действуют в течение 6 – 8 часов на лиц трудоспособного возраста, которые проходят регулярные медицинские осмотры, и поэтому здесь допускаются более высокие концентрации.
Таблица 7.2
Санитарно-гигиенические нормативы качества воздуха. Понятие о пдк.
В качестве определяющего показателя вредности в воздушной среде принята направленность биологического действия вещества: рефлекторная или резорбтивная. Рефлекторное (органолептическое) действие — это реакция рецепторов верхних дыхательных путей: ощущение запаха, раздражение слизистых оболочек, задержка дыхания и т. п. Указанные эффекты возникают при кратковременном (остром) воздействии вредных веществ, поэтому рефлекторное действие лежит в основе установления максимальной разовой ПДК (ПДК мр). Принято, что в этом случае длительность воздействия вещества на организм составляет не более 20 мин.
Резорбтивное (токсическое) действие — это возможность развития общетоксических, гонадотоксических, эмбриотоксических, мутагенных, канцерогенных и других эффектов, возникновение которых зависит не только от концентрации вещества в воздухе, но и длительности его вдыхания = экспозиции (т. е. хроническое действие). С целью предупреждения развития резорбтивного действия ПДК устанавливаются среднесуточная (ПДКсс) и среднесменная (ПДКсрсм). В этом случае длительность воздействия вещества составляет 24 и 8 ч соответственно.
Предельно допустимая концентрация в воздухе рабочей зоны (ПДК р.з.) — это максимальная концентрация вредного вещества которая при ежедневной (кроме выходных) работе в течение 8 ч и не более 40 ч в неделю в течение всего трудового стажа не должна вызывать заболеваний или отклонений в состоянии здоровья, обнаруживаемых современными методами исследований в процессе работы или в отдаленные сроки жизни настоящего и последующих поколений. При этом у лиц с повышенной чувствительностью возможны некоторые нарушения состояния здоровья.
Санитарно-защитные зоны (сзз).
СЗЗ – это пространство между границей территории (промплощадки) предприятия и жилой или ландшафтно-рекреационной, или курортной зоной либо зоной отдыха. Она создается при градостроительстве и развитии иных населенных пунктов в качестве санитарно-защитного и эстетического барьера, препятствующего вредному воздействию на человека и ОС. Для групп предприятий или промышленного узла с учетом суммарных воздействий всех источников единым проектом устанавливается единая СЗЗ.
Для объектов, являющихся источниками воздействия на ОС и здоровье человека, в зависимости от их мощности, условий эксплуатации, характера и количеств выбрасываемых в окружающую среду веществ, создаваемого шума, вибрации и иных вредных физических факторов, при условии соблюдения требований гигиенических нормативов, а также в соответствии с санитарной классификацией предприятий, производств и объектов в «Санитарно-гигиенических правилах и нормативах (СанПиН) 2.2.1/2.1.1.1200-03», установлены минимальные размеры СЗЗ. Для предприятий I—V классов это соответственно 1000, 500, 300, 100 и 50 м.
В границах СЗЗ допускается размещать:
сельхозугодья для выращивания технических культур;
предприятия, их здания и сооружения меньшего класса опасности, чем основное производство;
здания управления, конструкторские бюро, лаборатории, пожарные депо, гаражи, автозаправочные станции, стоянки автомобилей, бани, прачечные и т. п., связанные с обслуживанием данного объекта;
нежилые помещения для дежурного аварийного персонала и охраны, линии электропередач (ЛЭП), электроподстанции, сооружения для подготовки технической воды, питомники растений для озеленения и т. п.
Однако в границах всех СЗЗ не допускается размещать:
предприятия пищевой промышленности, производства питьевой воды и напитков, склады готовой пищевой продукции, комплексы водопроводных сооружений для подготовки и хранения питьевой воды;
спортивные сооружения, парки, образовательные и детские учреждения, лечебно-профилактические и оздоровительные учреждения общего пользования;
коллективные или индивидуальные дачные и садово-огородные участки.
В то же время в границах СЗЗ воздушных ЛЭП не допускается размещать:
жилые и общественные здания и сооружения;
места стоянки и остановки всех видов транспорта;
предприятия по обслуживанию автомобилей;
склады нефти и нефтепродуктов.
Размеры СЗЗ могут быть изменены. Причиной увеличения размера СЗЗ сверх установленных размеров может быть невозможность обеспечить современными техническими и технологическими средствами нормативные уровни по любому фактору воздействия, полученные расчетным путем и (или) по результатам лабораторного контроля. Причиной уменьшения размера СЗЗ может быть объективное доказательство стабильно низкого уровня техногенного воздействия на ОС с не менее чем годовыми данными регулярных лабораторных измерений;
studfiles.net
Нормативы гигиенические — это… Что такое Нормативы гигиенические?
количественные показатели интенсивности факторов окружающей среды, позволяющие формировать оптимальные или допустимые условия жизнедеятельности человека. Разработаны для условий проживания, многообразных форм труда, питания, обучения, культурного досуга и т.д.
К гигиеническим нормативам, ограничивающим интенсивность воздействия на организм вредных и опасных факторов окружающей среды, относятся Предельно допустимые концентрации (ПДК) химических веществ в воздухе рабочей зоны и зоны проживания населения, в питьевой воде и продуктах питания, предельно допустимые уровни (ПДУ) и дозы (ПДД) физических факторов, например шума, вибрации, ионизирующих излучений. Кроме того, разработана система стандартов безопасности труда (ССБТ) — единая межведомственная общегосударственная система нормативной документации, содержащая требования, правила и нормы, а также методы их контроля, направленные на обеспечение безопасных и безвредных условий труда, на сохранение здоровья и высокой работоспособности человека в процессе профессиональной деятельности. ССБТ содержат нормы и требования по видам опасных и вредных производственных факторов (см. Профессиональные вредности), ПДК и ПДУ этих факторов, требования безопасности к производственным процессам, размещению и конструкции оборудования, зданиям и сооружениям, организации рабочих мест (см. Физиология труда), к исходным материалам и готовой продукции, к профессиональному отбору и обучению работающих, средствам индивидуальной защиты (Индивидуальные средства защиты), методам контроля и оценки нормируемых показателей. Другая группа Н. г. способствует оптимизации жизнедеятельности человека. Например, для жилья установлены Н. г. по размерам площади и кубатуре жилых помещений на 1 человека, нормы водоснабжения в зависимости от степени благоустройства, требования к воздухообмену (см. Вентиляция) и микроклиматическим условиям в зависимости от климатического пояса (см. Микроклимат). Н. г. в области питания предусматривают адекватный, сбалансированный рацион для каждого человека, причем в нормативах по энергетической ценности, содержанию белков, жиров, углеводов и других ингредиентов учитывается пол, возраст, характер трудовой деятельности (см. Питание). Н. г. обучения школьников регламентируют минимальные размеры площади и объема класса на одного ребенка, глубину помещений, световой коэффициент и коэффициент естественного освещения, микроклиматические условия, размеры мебели, требования к средствам обучения (см. Школа). Гигиенические нормативы учитываются при разработке Государственных стандартов, строительных норм и правил, технических заданий и других документов. Н. г. — важнейший элемент санитарного законодательства (см. Правовые основы охраны здоровья), основа предупредительного и текущего санитарного надзора (Санитарный надзор). Библиогр.: Методы изучения биологического действия загрязнителей (обзор методов, используемых в СССР), Коненгаген, ВОЗ, 1975, библиогр.; Проблема пороговости в токсикологии, под ред. Г.Н. Красовского, М., 1979; Радиационная защита. Рекомендации МКРЗ, Публикация-26, пер. с англ., М., 1978; Саноцкий И.В. Предупреждение вредных химических воздействий на человека — комплексная задача медицины, экологии, химии и техники. Журн. Всесоюз. хим. об-ва им. Д.И. Менделеева, т. 19. № 2, с. 125, 1974; библиогр.; Шицкова А.П. и др. Гигиеническое нормирование в условиях научно-технического прогресса, в кн.: Всесторонний анализ окружающей природной среды, под ред. Ю.А. Израэля, с. 105, Л., 1975, библиогр.dic.academic.ru
42. Санитарные нормы и гигиенические нормативы.
В связи с опасностью, которую представляют загрязняющие вещества, попадающие в окружающую среду, в том числе в водоемы, в разных странах и в Беларуси осуществляется экологическое нормирование. Система нормативно-технического обеспечения включает нормативы ПДК и ПДС. ПДК (предельно-допустимая концентрация) – это количество вредного вещества в окружающей среде при постоянном контакте или при воздействии за определенный промежуток времени, практически не влияющее на здоровье человека и не вызывающее неблагоприятных последствий у его потомства. Пороговые значения вещества, при которых в организме еще не может произойти никаких необратимых патологических изменений, принимаются в качестве ПДК. Значение ПДК устанавливается органами здравоохранения. Имеются ПДК для многих вредных, опасных веществ. Применительно к таким веществам верхний предел не должен превышаться, ни при каких условиях. Основным средством для соблюдения ПДК является установление ПДС (предельно-допустимых сбросов). Они являются научно-техническим нормативом, установленным для каждого источника загрязнения, исходя из условия, что сбросы загрязняющих веществ не создадут концентраций, превышающих установленные нормативы.
На территории Республики Беларусь действуют санитарные нормы, правила и гигиенические нормативы, отраженные в ряде документов: 1.Сборник гигиенических нормативов по разделу коммунальной гигиены. Республиканские санитарные правила, нормы и гигиенические нормативы. Министерство здравоохранения Республики Беларусь. – Мн., 2004. – 96 с.
2. 13.060.10 Вода естественных источников. СанПин 2.1.2.12–33–2005. Гигиенические требования к охране поверхностных вод от загрязнения.
3. 13.060.20 Питьевая вода. СанПин. Гигиенические требования к питьевой воде, расфасованной в емкости (Постановление Министерства здравоохранения Республики Беларусь от 29.06.2007 № 59).
4. СанПин 2.1.4.12-23-2006. Санитарная охрана и гигиенические требования к качеству воды источников централизованного питьевого водоснабжения населения (Постановление Главного государственного санитарного врача Республики Беларусь от 22.11.2006 № 141).
5. 13.060.50 Исследования воды для определения содержания химических веществ. ГН 2.1.5.10-20-2003. Ориентировочные допустимые уровни (ОДУ) химических веществ в воде водных объектов хозяйственно-питьевого и культурно-бытового водопользования.
6. ГН 2.1.5.10–21–2003. Предельно-допустимые концентрации (ПДК) химических веществ в воде водных объектов хозяйственно-питьевого и культурно-бытового водопользования.
7. СП 2.1.4.12–3–2005. Санитарные правила для хозяйственно-питьевых водопроводов.
Приведенный перечень документов отражен в Каталоге СанПин по состоянию на 01.05. 2008 г. (НП РУП «Белорусский государственный институт стандартизации и сертификации – Бел ГИСС, Минск, 2008).
Значения ПДК 16 показателей, принятых в странах Днепровского бассейна (РБ, РФ, Украина), ЕС, США, ВОЗ приводятся в книге [27].
ПДК некоторых показателей, имеющихся в указанной работе, для водных объектов хозяйственно-питьевого и культурно-бытового назначения следующие: рН – 6–9 (РБ и РФ), 6,5–8,5 (Украина), кислород, мг/дм3 (концентрация других показателей приводится в таких же единицах) – 4 (РБ, РФ, Украина), БПК5 – 6,0 (РБ), 2,0–4,0 (РФ), 4,0 (Украина), аммонийный азот-N – 1,0 (РБ), 2,0 (РФ, Украина), нитритный азот-N– 0,99 (РБ), 0,91 (РФ) и1,0 (Украина), нитратный азот-N – 10,2 (РБ, РФ, Украина), РО4-Р – 0,2 (РБ), 1,14 (РФ, Украина), нефтепродукты – 0,3 (РБ, РФ, Украина), фенолы – 0,001 (РБ, РФ, Украина), СПАВ – 0,5 (РБ, РФ). Нормы для источников питьевого водоснабжения: рН – 6,5–8,5 (ЕС), аммонийный азот-N – 0,39 (ЕС), 1.5 (ВОЗ), нитритный азот-N – 0,91 (ВОЗ), нитратный азот-N – 11,3 (ЕС, ВОЗ), РО4 -Р – 0,15 (ЕС).
studfiles.net
2.Санитарно-гигиенические нормативы качества поверхностных вод
Все водные объекты разделяются на категории: — источники хозяйственно-питьевого водоснабжения, а также водоснабжения предприятий пищевой промышленности;объекты для спорта, купания и отдыха населения;- объекты рыбохозяйственного использования которые делятся на две категории. К первой относятся водные объекты, в которых сохраняются и воспроизводятся ценные виды рыб, обладающих высокой чувствительностью к кислороду и загрязнениям, ко второй категории — водные объекты используемые для других рыбохозяйственных целей.
ПДК того или иного вещества в водоеме устанавливается по тому признаку вредного действия (влияние на здоровье населения, на органолептическое или общесанитарное состояние водоема), который характеризуется меньшей пороговой концентрацией. Поскольку этот признак вредности определяет характер наиболее вероятного неблагополучного действия наименьших концентраций вещества, он получил название лимитирующего признака вредности (ЛПВ). Лимитирующий признак вредности должен всегда сопровождать предельно допустимую концентрацию, характеризуя ее с основной качественной стороны.
Требования к качеству вод в водоемах, которые используются для рыбохозяйственных целей, в большинстве случаев более жестки, нежели таковые для водных объектов хозяйственно-бытового назначения. Это связано с тем, что при переходе вредных веществ по пищевой цепи гидробионтов происходит их биологическое накопление до опасных для жизни качеств. В силу этого рыбохозяйственные ПДК для ряда моющих веществ в три раза ниже санитарных норм, нефтепродукты — в шесть раз, а тяжелых металлов (например, цинка) — даже в 100 раз.
Важно соблюдать принцип гигиенического нормирования при одновременном присутствии в воде нескольких вредных веществ. Согласно этому принципу, вещества одного ЛПВ проявляют аддитивное действие. Это означает, что общее воздействие двух или нескольких веществ одного ЛПВ (содержащихся в предельно допустимой концентрации каждое) будет таким же, как если бы какое-нибудь из них, присутствуя в воде в единственном числе, содержалось в двух или нескольких ПДК. Вышеперечисленные состав и свойства воды водных объектов хозяйственно-питьевого и культурно-бытового водопользования должны соответствовать нормативным требованиям в створе, расположенном на водотоках в одном километре выше близлежащего по течению пункта водопользования (водозабор для хозяйственно-питьевого водоснабжения, места купания, организованного отдыха, территория населенного пункта и т.д.).
3.Экологические (производственно-хозяйственные) нормативы
Нормативы ПДК вредных веществ дают оценку состояния окружающей природной среды, но не указывают на источник вредного воздействия и не регулируют его функционирование. Этот пробел восполняют нормативы предельно допустимых выбросов (ПДВ) и сбросов (ПДС) вредных веществ. На одном предприятии может быть не один, а несколько источников выбросов и сбросов. Поэтому ПДВ и ПДС устанавливаются для каждого источника загрязнения.
Предельно допустимый выброс. Под выбросом понимается поступление вещества от соответствующего источника в атмосфер. ПДВ (г/с, т/год) устанавливается для каждого источника загрязнения атмосферы при условии, что выбросы вредных веществ от данного источника и от совокупности источников для населенного пункта с учетом перспективы развития промышленных предприятий и рассеивания вредных веществ в атмосфере не создадут концентрацию, превышающую их ПДК для населения, растительного и животного мира.
Исходные данные для разработки нормативов ПДВ состоят из двух разделов: рельефно-климатической характеристики местности в которой располагается данный источник выброса, и технической характеристики самого источника. Кроме того, учитываются так называемые фоновые концентрации Сф загрязняющих веществ. Фоновая концентрация для отдельного источника выброса характеризует загрязнение атмосферы в населенном пункте, создаваемое другими источниками, исключая данный. Фоновая концентрация относится к тому же интервалу осреднения (20—30 мин), что и максимально разовая ПДК.
Если в воздухе городов и других населенных пунктов концентрации вредных веществ уже превышают ПДК, а значения ПДВ по причинам объективного характера предприятием не могут быть достигнуты, для таких предприятий устанавливаются временно согласованные выбросы веществ (ВСВ) и вводится режим поэтапного снижения показателей выбросов вредных веществ до значений, которые обеспечивают соблюдение ПДВ.
Предельно допустимый сброс. Сброс — поступление вещества, находящегося в сточных водах предприятия, в водный объект.
Под предельно допустимым сбросом (ПДС) загрязняющего вещества в водный объект понимается масса этого вещества в сточных водах, максимально допустимая к отведению в данном пункте водного объекта в единицу времени с целью обеспечения норм качества воды в контрольном пункте. ПДС (г/с, т/год) устанавливается санэпидемслужбой с учетом ПДК загрязняющих веществ в местах водопользования.
При сбросе нескольких веществ с одинаковыми лимитирующими показателями вредности ПДС устанавливается так, чтобы с учетом примесей, поступающих в водоем от вышерасположенных выпусков, сумма отношений концентрации каждого вещества ( ССТ1…ССТn), мг/л, в водном объекте к соответствующим ПДК не превышала единицу.
Исходными данными для разработки нормативов ПДС являются: характеристика сточных вод и характеристика приемника сточных вод, включающая фоновые концентрации загрязняющих веществ и категорию водопользования.
studfiles.net
Нормативы санитарно-гигиенически
Санитарно-гигиенические нормативы — это устанавливаемые в законодательном порядке, обязательные для исполнения всеми ведомствами, органами и организациями допустимые уровни содержания химических соединений в объектах окружающей среды. Предположение о возможности установления нормативов для некоторых токсичных веществ было высказано еще в прошлом веке на основе данных о пороговом действии промышленных ядов. В начале XX столетия немецкие и американские исследователи разработали перечни пороговых концентраций для нескольких десятков наиболее распространенных промышленных химических соединений. В середине 20-х гг. в СССР впервые в мире были включены в санитарное законодательство предельно допустимые концентрации (ПДК) вредных веществ в воздухе рабочей зоны. В 30-е гг. ПДК были введены в Германии и США. В последующий период в СССР были заложены основы методологии гигиенического нормирования химических соединений в воде водоемов, атмосферном воздухе населенных мест, почве, продуктах питания. В настоящее время санитарно-гигиенические нормативы существуют во всех промышленно развитых странах. Кроме того, нормативы допустимого содержания химических соединений разрабатываются рядом международных организаций: Международной организацией труда (МОТ), Всемирной организацией здравоохранения (ВОЗ).[ …]
Гигиеническая регламентация вредных (загрязняющих) веществ в природной среде заключается в установлении санитарно-гигиенических нормативов их содержания в воздухе, воде, почве, а также в растениях, продуктах питания, материалах.[ …]
Санитарно-гигиенические нормативы, как правило, не дифференцированы по природно-климатическим зонам, хотя чувствительность природной среды к воздействиям зависит от климатических условий, состава биоты, структуры самой среды, определяющей особенности распространения в ее сферах загрязнителей. Различия всех этих факторов и условий определяют существование дифференциации устойчивости разных экологических систем.[ …]
Гигиенические нормативы утверждаются Государственным комитетом санитарно-эпидемиологического надзора Российской Федерации. Они входят в состав санитарно-гигиенических норм и правил, а также в некоторые ГОСТы.[ …]
Санитарно-гигиенические нормативы получили широкое распространение в мировой природоохранной практике прежде всего благодаря четко обозначенной методологии их определения и использования. Их целевое назначение состоит в обозначении качественных и количественных рубежей воздействия на природные комплексы, непревышение которых гарантирует безопасные или «экологически оптимальные» условия жизнедеятельности населения. Таким образом, эти нормативы разрабатываются в соответствии с предположением о существовании порогового эффекта воздействия загрязнителя на организм человека, который весьма органично может быть учтен при определении экономических (стоимостных) характеристик ущерба.[ …]
Санитарно-гигиенические нормативы являются составной частью природоохранного нормирования и направлены на охрану здоровья человека с учетом его потребностей в благоприятной окружающей среде. К этой группе нормативов качества относятся нормативы предельно допустимых концентраций (ПДК) вредных веществ, предельно допустимых уровней (ПДУ) воздействия радиации, шума, вибрации, электромагнитных полей.[ …]
Санитарно-гигиенические нормативы — это качественно-количественные показатели, соблюдение которых гарантирует безопасные или оптимальные условия существования человека. В связи с высокой социальной значимостью охраны здоровья человека санитарно-гигиеническое нормирование в нашей стране было разработано и внедрено в практику управления природопользованием хронологически первым. Например, предельно допустимые гигиенические концентрации (ПДК) содержания в атмосферном воздухе первых 10 веществ были утверждены еще в 1951 г., тогда как национальные стандарты качества воздуха на содержание 6 веществ в США были приняты в 1980 г. Поэтому методологическая база гигиенического нормирования в настоящее время является теоретически обоснованной, методически проработанной и организационно оформленной.[ …]
К санитарно-гигиеническим нормативам относятся гигиенические и санитарно-защитные нормативы.[ …]
К санитарно-гигиеническим показателям относятся нормативы предельно допустимых концентраций (ПДК) вредных веществ (химических, биологических), физических воздействий и др., нормативы санитарных, защитных зон, предельно допустимых уровней (ПДУ) радиационного воздействия и др. Целью разработки таких нормативов является определение показателей качества окружающей среды применительно к здоровью человека. Это наиболее разработанная часть нормативов качества ОПС.[ …]
Все нормативы качества окружающей природной среды подразделяются на три группы: санитарно-гигиенические, производственно-хозяйственные и комплексные.[ …]
Норма санитарно-гигиеническая — качественно-количественный показатель состояния окружающей среды, поддержание которого гарантирует безопасные или оптимальные условия существования человека Так, предельно допустимые концентрации (ПДК) являются прежде всего санитарно-гигиеническими нормативами, которые устанавливаются для оценки состояния среды в интересах охраны здоровья человека.[ …]
Нормы и нормативы качества окружающей среды подразделяются на: санитарно-гигиенические, экологические, производственно-хозяйственные и временные.[ …]
Система санитарно-гигиенических нормативов ПДК является основой для разработки производственно-хозяйственных нормативов качества окружающей природной среды.[ …]
С помощью санитарно-гигиенических нормативов определяются показатели качества окружающей среды. В эту группу входят ПДК вредных веществ в составе твердых отходов, допустимые уровни биологического и радиационного воздействия.[ …]
Используя нормативы ПДК, оценивают экологическое и санитарно-гигиеническое состояние окружающей природной среды. Контроль за источником вредного действия, регулирование его поведения выполняют путем применения нормативов предельно допустимых выбросов (сбросов) вредных веществ (ПДВ).[ …]
К основным нормативам в области охраны окружающей среды относятся государственные стандарты (ГОСТы), нормативы санитарно-гигиенического нормирования (ПДК и пр.), технические нормативы (см. раздел 4.1).[ …]
Экологическую и санитарно-гигиеническую оценку продовольственной сельскохозяйственной продукции проводят с учетом правил, норм и гигиенических нормативов (СанПиН 2.3.2.560—96), разработанных для Российской Федерации. На территории России они введены в действие постановлением Госкомсанэпиднадзора России № 27 от 24 октября 1996 г. В них описаны установленные законом или ограниченные правилами и стандартами нормируемые параметры, четко сформулированы термины и понятия.[ …]
Рассмотренные выше нормативы в основном базируются на санитарно-гигиенических принципах нормирования, т. е. ограничивают антропогенное воздействие на ОС, исходя прежде всего из результатов анализа особенностей действия на организм человека. Это ведет не к полноценной охране Природы, а лишь к сохранению отдельных (хотя уже в наши дни и достаточно многочисленных) характеристик среды в непосредственном окружении Человека.[ …]
В практических целях нормативы безопасности применяются следующим образом. Предположим, нужно определить, является ли безопасным для работающих воздух рабочей зоны, в котором содержатся пары бензина. По нормативным документам (ГОСТ 12.1.005-88 «Воздух рабочей зоны. Общие санитарно-гигиенические требования») находят, что величина предельно допустимой (безопасной) концентрации (ПДК) этого вещества составляет 100 мг/м3. Если действительная концентрация бензина в воздухе не превышает этого значения (например, составляет 90 мг/м3), то такой воздух является безопасным для работающих. В противном случае необходимо применить специальные меры для снижения повышенной концентрации паров бензина до безопасного значения (например, используя общеобменную приточно-вытяжную вентиляцию).[ …]
Следует отметить, что по санитарно-гигиеническим нормативам, действующим в России, сброс сточных вод, загрязненных ртутью, запрещен [127]. ПДК ртути для рыбохозяйственных водоемов составляет 0.01 мкг/л, что ниже или равно пределу обнаружения (ПО) наиболее часто используемых в России методов определения ртути. В соответствии с ГОСТ 27384—87 норматив погрешности при определении ртути от 0.02 до 0.1 мкг/л равен 50 %, для более низких концентраций он не определен. По аналогии с другими микроэлементами норма погрешности определения концентраций ртути ниже 0.02 мкг/л может находиться в диапазоне от 65 до 100 % [51] Поэтому корректное определение концентрации ртути [ …]
В основу установления научно-технических нормативов положен следующий принцип: при условии соблюдения этих нормативов предприятиями региона содержание любой примеси в воде, воздухе и почве должно удовлетворять требованиям санитарно-гигиенического нормирования.[ …]
Система производственно-хозяйственного нормирования пока ориентирована на санитарно-гигиенические нормативы (см. разд. 10.4.2.1). Общеэкологические (или комплексные) нормативы ПДК — нормативы, ориентированные на реакцию наиболее чувствительных организмов биоценоза, а не только человека, являются значительно более жесткими. Повсеместная переориентация сложившейся системы нормирования на ПДК растительного (табл. 10.7) и животного мира вызовет значительно большие экологические и экономические ограничения хозяйственной деятельности, что в конце XX в. признавалось нерациональным и нереальным, но с принятием Федерального закона от 10.01.02 № 7-ФЗ «Об охране ОС» существующий подход может быть вскоре изменен.[ …]
Применение принципа аддитивности позволяет защищать интересы водопользования санитарно-гигиеническими нормативами; с другой стороны, при этом полностью сохраняют свое значение предельно допустимые концентрации, определенные для каждого вещества в отдельности.[ …]
В настоящее время определяющее значение для контроля и управления качеством окружающей среды имеют санитарно-гигиенические нормативы, ориентированные на показатели здоровья человека и его зависимости от состояния окружающей среды. К этой группе относятся нормативы предельно допустимых концентраций (ПДК) вредных веществ в воздухе.[ …]
В соответствии с задачами промышленной гигиены методы исследования воздушной среды должны быть адекватны гигиеническим нормативам и отвечать высоким требованиям по чувствительности, избирательности, точности и другим показателям. В настоящее время эти требования унифицированы и включены в ГОСТы: 12.1.005.—76 «Воздух рабочей зоны. Общие санитарно-гигиенические требования» и 12.1.016.—79 «Воздух рабочей зоны. Требования к методикам измерения концентрации вредных веществ».[ …]
В методике экологического нормирования преобладает исторически сложившийся антропоцентрический подход, основанный на санитарно-гигиенических нормах, лимитирующих концентрацию загрязняющих веществ (ПДК, ПДУ, ПДВ и др.) в различных компонентах природной среды. Но очевидно, что экологическое нормирование должно быть направлено не только на защиту человека и отдельных видов биоты, но и на обеспечение устойчивого развития природно-технических геосистем в целом [40]. При этом необходима разработка вторичных нормативов — предельных значений технико-технологических показателей, обеспечивающих выполнение первичных нормативов (требуемого состояния экосистем, уровней загрязнения и т.д.). Установление таких обратных связей в системе «производство — окружающая среда» (природно-техническая геосистема) в полной степени соответствует ее устойчивому равновесию и минимизации экологических издержек.[ …]
Важным условием нормирования содержания загрязняющих веществ в природной среде является экологическая дифференциация нормативов ПДК. Говоря выше о задачах токсикологии, мы указали, что восприимчивость организма к воздействию загрязняющих веществ может увеличиваться, а устойчивость к ним — снижаться, если организм находится под одновременным воздействием других экологических (например, физических) факторов, режимы которых близки к пределам толерантности или выходят за эти пределы. В токсикологии учет такого совместного воздействия факторов считается необходимым, хотя в практике санитарно-гигиенического нормирования это не применяется: используются единые нормативы ПДК.[ …]
Для предотвращения или снижения загрязнения окружающей среды намечены и проводятся различные мероприятия: технологические, технические, санитарно-технические, медицинские, правовые, планировочные, организационные и др. В основе всех мероприятий по предотвращению или снижению загрязнения окружающей среды лежит контроль за содержанием вредных веществ, который регламентируется санитарно-гигиеническими нормативами — ПДК. Контроль необходим для получения информации об уровне загрязнения, а также об источниках выбросов, причинах и факторах, определяющих загрязнение. Такая информация дает основание или помогает выбирать и проводить защитные, оздоровительные мероприятия и следить за их выполнением.[ …]
Вопросу контроля за содержанием вредных веществ в-окружающей среде в нашей стране придается важное значение с первых лет установления Советской власти. Первый отечественный гигиенический норматив был установлен в 1924 г. на содержание соляной кислоты в воздухе рабочей зоны. Эта величина является неизменной и в настоящее время. Позднее гигиенические нормативы стали устанавливаться для водоемов (1945 г.), атмосферного воздуха (1951 г.)г почвы (1974 г.). В настоящее время более чем для 2500 соединений установлены санитарно-гигиенические нормативы в различных средах.[ …]
В Российской Федерации природоохранные нормы и правила имеют недостаточную правовую поддержку, а сфера их практического действия намного меньше, чем должна быть. Система собственно экологических нормативов отсутствует, если не принимать за нее комплекс санитарно-гигиенических норм. Справедливости ради следует отметить, что существует большое число утвержденных нормативных документов и специализированных нормативных разработок. Есть хорошо сочиненная концепция отечественного экологического нормирования. Но все это почти не работает.[ …]
Оценка вариантов архитектурнопланировочных решений застройки с позиций требований улучшения микроклимата проводится с помощью графоаналитических расчетов (методика изложена в ч. II, 2.1) и базируется на установленных санитарно-гигиенических нормативах и показателях (ч. II, 1.5 и 2.1).[ …]
В соответствии с постановлением ЦК КПСС и Совета Министров СССР от 5. VI 1.68 г. №517 «О мерах по дальнейшему улучшению здравоохранения и развитию медицинской науки в стране» на промышленных предприятиях должны быть организованы санитарные лаборатории для постоянного контроля за соблюдением санитарно-гигиенических нормативов в цехах, а также за загрязнением атмосферного воздуха, почвы и водоемов промышленными выбросами.[ …]
В настоящее время нормативная база в данной сфере весьма обширна. В нее входят многочисленные международно-правовые, региональные (например, ЕС), национальные и локальные акты. Это Федеральный закон «Об охране атмосферного воздуха» и иные акты федерального уровня (о санитарно-эпидемиологическом благополучии населения, об отходах и т. п.), уровня субъектов РФ, а также подзаконные — постановления Правительства РФ, санитарно-гигиенические нормативы Минздрава РФ.[ …]
Деструктивные методы применяются для сточных вод с органическими примесями, не представляющими технической ценности, или в качестве доочистки после регенерационных методов. Основным из деструктивных методов является метод биологического окисления в аэробных или анаэробных условиях. Очищенные по этому методу производственные сточные воды отвечают санитарно-гигиеническим и рыбохозяйственным нормативам и могут быть спущены в водоем; нередко они могут быть использованы повторно на технологические нужды. Затраты на биологическую очистку зависят от состава стоков, они минимальны при очистке производственных стоков совместно с бытовыми и при небольшом разбавлении условно чистыми стоками. При большом разбавлении их речной водой затраты на биологическую очистку могут быть выше, чем по другим методам, как это видно из табл. 5.3.[ …]
Расширение зон кислотных дождей в странах Европы и Америки, как это ни парадоксально, тесно связано с мерами по обеспечению необходимого качества среды обитания человека: строительством высоких труб и введением в эксплуатацию электрофильтров для улавливания летучей золы (содержащей щелочные компоненты, а также катализаторы окисления 802 и N0 ). Использование санитарно-гигиенических нормативов типа ПДК и антропоцентристский подход к проблемам окружающей среды естественным образом ориентируют на простейшее и наименее дорогостоящее решение задачи уменьшения концентрации загрязняющих компонентов — их разбавление и рассеяние. Однако такой подход антиэкологичен, поскольку хроническое воздействие «умеренных» или даже «малых» доз загрязнений приводит к постепенной деградации экосистем. При этом их сопротивляемость постепенно снижается, и последующие стадии деградации протекают со значительным ускорением, зачастую не оставляя возможности затормозить и повернуть процесс вспять.[ …]
ru-ecology.info
